两两交换链表中的节点
给你一个链表,两两交换其中相邻的节点,并返回交换后链表的头节点。你必须在不修改节点内部的值的情况下完成本题(即,只能进行节点交换)。
示例 1:

输入:head = [1,2,3,4] 输出:[2,1,4,3] 示例 2:
输入:head = [] 输出:[] 示例 3:
输入:head = [1] 输出:[1]
方法思路
- 使用虚拟头节点:简化边界处理,避免单独处理头节点。
- 三指针法:维护三个指针
prev、curr、next,分别指向当前处理的两个节点的前一个节点、第一个节点和第二个节点。 - 交换逻辑:
- 将
prev的next指向next; - 将
curr的next指向next的下一个节点; - 将
next的next指向curr。
- 将
- 指针移动:交换完成后,将
prev移动到curr,curr移动到其新的next,继续处理后续节点。
代码实现
/**
* Definition for singly-linked list.
* function ListNode(val, next) {
* this.val = (val===undefined ? 0 : val)
* this.next = (next===undefined ? null : next)
* }
*/
/**
* @param {ListNode} head
* @return {ListNode}
*/
function swapPairs(head) {
const dummy = new ListNode(0); // 虚拟头节点
dummy.next = head;
let prev = dummy;
while (prev.next && prev.next.next) {
const curr = prev.next;
const next = curr.next;
// 交换节点
prev.next = next;
curr.next = next.next;
next.next = curr;
// 移动prev指针到下一组的前一个节点
prev = curr;
}
return dummy.next;
}
复杂度分析
- 时间复杂度:O(n),其中 n 是链表的长度。需要遍历每个节点一次。
- 空间复杂度:O(1),只需要常数级的额外空间。
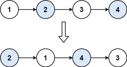
示例验证
输入:链表 1 → 2 → 3 → 4
输出:链表 2 → 1 → 4 → 3
过程:
-
初始状态:
dummy → 1 → 2 → 3 → 4
prev指向dummy,curr指向1,next指向2。 -
第一次交换:
prev.next = next:dummy → 2curr.next = next.next:1 → 3next.next = curr:2 → 1
链表变为:dummy → 2 → 1 → 3 → 4
prev移动到1,curr指向3,next指向4。
-
第二次交换:
prev.next = next:1 → 4curr.next = next.next:3 → nullnext.next = curr:4 → 3
链表变为:dummy → 2 → 1 → 4 → 3 → null
prev移动到3,curr和next均为null,结束循环。
关键细节说明
- 虚拟头节点的作用:确保所有交换操作都遵循统一逻辑,无需特殊处理头节点。
- 循环条件:
prev.next && prev.next.next确保每次处理时都有两个节点可供交换。 - 指针移动顺序:交换后,
prev必须移动到当前处理的第二个节点(即curr),而非直接跳到下一组的前一个节点,否则会导致链表断裂。
该方法通过一次遍历完成所有相邻节点的交换,高效且直观,是处理链表交换问题的标准解法。