删除链表的倒数第 N 个结点
给你一个链表,删除链表的倒数第 n 个结点,并且返回链表的头结点。
示例 1:

输入:head = [1,2,3,4,5], n = 2 输出:[1,2,3,5] 示例 2:
输入:head = [1], n = 1 输出:[] 示例 3:
输入:head = [1,2], n = 1 输出:[1]
双指针法:
方法思路
- 双指针初始化:设置两个指针
first和second,均指向虚拟头节点(避免处理头节点被删除的情况)。 - 移动第一个指针:将
first指针向前移动n+1步,使first和second之间间隔n个节点。 - 同步移动双指针:同时移动
first和second,直到first指向链表末尾(null)。此时second恰好指向倒数第n+1个节点(待删除节点的前一个节点)。 - 删除目标节点:修改
second的next指针,跳过倒数第n个节点。
代码实现
/**
* Definition for singly-linked list.
* function ListNode(val, next) {
* this.val = (val===undefined ? 0 : val)
* this.next = (next===undefined ? null : next)
* }
*/
/**
* @param {ListNode} head
* @param {number} n
* @return {ListNode}
*/
function removeNthFromEnd(head, n) {
const dummy = new ListNode(0); // 虚拟头节点
dummy.next = head;
let first = dummy;
let second = dummy;
// 移动first指针n+1步
for (let i = 0; i <= n; i++) {
first = first.next;
}
// 同步移动双指针
while (first !== null) {
first = first.next;
second = second.next;
}
// 删除倒数第n个节点
second.next = second.next.next;
return dummy.next; // 返回真正的头节点
}
复杂度分析
- 时间复杂度:O(L),其中 L 是链表的长度。仅需一次遍历。
- 空间复杂度:O(1),仅使用常数级额外空间。
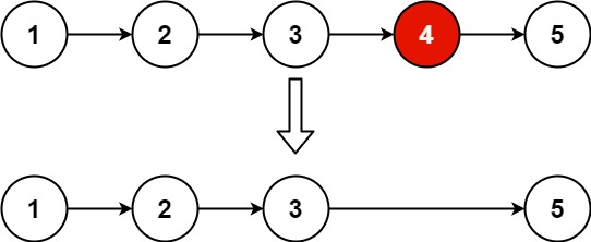
示例验证
输入:链表 1 → 2 → 3 → 4 → 5,n = 2
输出:1 → 2 → 3 → 5
过程:
- 初始化双指针:
first和second均指向虚拟头节点dummy。 - 移动
first指针:first向前移动 3 步(n+1=3),指向节点3。 - 同步移动双指针:
first移动到节点4,second移动到节点1。first移动到节点5,second移动到节点2。first移动到null,second指向节点3(待删除节点4的前一个节点)。
- 删除节点:将节点
3的next指向节点5,跳过节点4。
关键细节说明
- 虚拟头节点的作用:当要删除的是头节点时,虚拟头节点确保
second能正确指向待删除节点的前一个节点(即虚拟头节点本身)。 - 指针间隔:通过
first先行n+1步,确保second最终停在倒数第n+1个节点,而非倒数第n个。 - 边界处理:当链表长度为
n时,first移动n+1步后会指向null,此时second指向虚拟头节点,直接删除头节点即可。
该方法通过双指针巧妙地一次遍历完成删除操作,避免了先计算链表长度的额外开销,是处理链表删除问题的高效解法。