环形链表 II
给定一个链表的头节点 head ,返回链表开始入环的第一个节点。 如果链表无环,则返回 null。
如果链表中有某个节点,可以通过连续跟踪 next 指针再次到达,则链表中存在环。 为了表示给定链表中的环,评测系统内部使用整数 pos 来表示链表尾连接到链表中的位置(索引从 0 开始)。如果 pos 是 -1,则在该链表中没有环。注意:pos 不作为参数进行传递,仅仅是为了标识链表的实际情况。
不允许修改 链表。
示例 1:

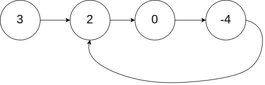
输入:head = [3,2,0,-4], pos = 1 输出:true 解释:链表中有一个环,其尾部连接到第二个节点。 示例 2:
输入:head = [1,2], pos = 0 输出:true 解释:链表中有一个环,其尾部连接到第一个节点。 示例 3:
输入:head = [1], pos = -1 输出:false 解释:链表中没有环。
进阶做法: 要找到链表入环的第一个节点(若有环),可以在快慢指针判断有环的基础上,通过二次相遇定位入环点,时间复杂度O(n),空间复杂度O(1),且不修改链表。
核心思路
- 判断是否有环:用快慢指针(慢指针走1步,快指针走2步),若相遇则有环,否则无环。
- 定位入环点:
- 当快慢指针相遇后,将慢指针移到链表头部,快指针留在相遇点。
- 两指针以相同速度(每次1步)移动,再次相遇的节点即为入环的第一个节点。
原理证明
设:
-
头节点到入环点的距离为
a; -
入环点到相遇点的距离为
b; -
环的长度为
c。 -
相遇时,慢指针走了
a + b;快指针走了a + b + k·c(k为圈数,k ≥ 1)。 -
因快指针速度是慢指针的2倍:
2(a + b) = a + b + k·c→a + b = k·c→a = k·c - b。
此时将慢指针移到头部,两指针同速移动:
- 慢指针走
a步到入环点; - 快指针从相遇点走
a步:k·c - b步 =(k-1)·c + (c - b),即绕k-1圈后,再走c - b步(相遇点到入环点的距离),最终也到入环点。 - 故二次相遇点即为入环点。
代码实现
function detectCycle(head) {
if (!head || !head.next) return null; // 空链表或单节点无环
// 步骤1:快慢指针判断是否有环,找到相遇点
let slow = head;
let fast = head;
let hasCycle = false;
while (fast && fast.next) {
slow = slow.next; // 慢指针走1步
fast = fast.next.next; // 快指针走2步
if (slow === fast) { // 相遇,有环
hasCycle = true;
break;
}
}
if (!hasCycle) return null; // 无环,返回null
// 步骤2:定位入环点
slow = head; // 慢指针移到头部
while (slow !== fast) { // 两指针同速移动,再次相遇即入环点
slow = slow.next;
fast = fast.next;
}
return slow; // 返回入环点
}
示例验证
示例:链表 1 → 2 → 3 → 4 → 2(入环点为 2)
-
判断有环:
- 慢指针路径:
1 → 2 → 3 → 4 - 快指针路径:
1 → 3 → 2 → 4 - 相遇于
4(假设)。
- 慢指针路径:
-
定位入环点:
- 慢指针移到头部(
1),快指针在4。 - 同速移动:
- 慢指针:
1 → 2 - 快指针:
4 → 2
- 慢指针:
- 二次相遇于
2,即入环点。
- 慢指针移到头部(
复杂度分析
-
时间复杂度:O(n)。
- 第一次相遇:O(n)(快慢指针最多遍历n步)。
- 第二次相遇:O(n)(两指针最多移动a + (c - b) = a + (c - b),总长度≤n)。
-
空间复杂度:O(1)。仅用2个指针,无额外空间。
边界情况
- 无环链表:返回
null。 - 环起点为头节点(如
1 → 2 → 1):二次相遇点为头节点1。