Skip to main content

相交链表

给你两个单链表的头节点 headA 和 headB ,请你找出并返回两个单链表相交的起始节点。如果两个链表不存在相交节点,返回 null 。

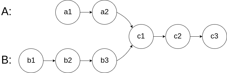
图示两个链表在节点 c1 开始相交:

image

题目数据 保证 整个链式结构中不存在环。

注意,函数返回结果后,链表必须 保持其原始结构 。

自定义评测:

评测系统 的输入如下(你设计的程序 不适用 此输入):

intersectVal - 相交的起始节点的值。如果不存在相交节点,这一值为 0 listA - 第一个链表 listB - 第二个链表 skipA - 在 listA 中(从头节点开始)跳到交叉节点的节点数 skipB - 在 listB 中(从头节点开始)跳到交叉节点的节点数 评测系统将根据这些输入创建链式数据结构,并将两个头节点 headA 和 headB 传递给你的程序。如果程序能够正确返回相交节点,那么你的解决方案将被 视作正确答案 。

示例 1:

image

输入:intersectVal = 8, listA = [4,1,8,4,5], listB = [5,6,1,8,4,5], skipA = 2, skipB = 3 输出:Intersected at '8' 解释:相交节点的值为 8 (注意,如果两个链表相交则不能为 0)。 从各自的表头开始算起,链表 A 为 [4,1,8,4,5],链表 B 为 [5,6,1,8,4,5]。 在 A 中,相交节点前有 2 个节点;在 B 中,相交节点前有 3 个节点。 — 请注意相交节点的值不为 1,因为在链表 A 和链表 B 之中值为 1 的节点 (A 中第二个节点和 B 中第三个节点) 是不同的节点。换句话说,它们在内存中指向两个不同的位置,而链表 A 和链表 B 中值为 8 的节点 (A 中第三个节点,B 中第四个节点) 在内存中指向相同的位置。

示例 2:

image

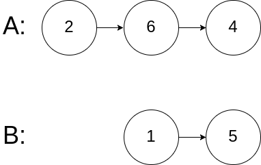
输入:intersectVal = 2, listA = [1,9,1,2,4], listB = [3,2,4], skipA = 3, skipB = 1 输出:Intersected at '2' 解释:相交节点的值为 2 (注意,如果两个链表相交则不能为 0)。 从各自的表头开始算起,链表 A 为 [1,9,1,2,4],链表 B 为 [3,2,4]。 在 A 中,相交节点前有 3 个节点;在 B 中,相交节点前有 1 个节点。 示例 3:

image

输入:intersectVal = 0, listA = [2,6,4], listB = [1,5], skipA = 3, skipB = 2 输出:No intersection 解释:从各自的表头开始算起,链表 A 为 [2,6,4],链表 B 为 [1,5]。 由于这两个链表不相交,所以 intersectVal 必须为 0,而 skipA 和 skipB 可以是任意值。 这两个链表不相交,因此返回 null 。

逻辑很简单,但是看不懂题目 做法:要找到两个单链表的相交节点,可以通过以下高效方法实现:

方法思路

  1. 计算链表长度:分别遍历两个链表,得到它们的长度 lenAlenB
  2. 对齐起点:让较长的链表指针先走 |lenA - lenB| 步,使两个指针到相交点的剩余距离相等。
  3. 同步遍历:两个指针同时前进,若相遇则为相交节点;若均到达末尾(null),则无相交。

代码实现

function getIntersectionNode(headA, headB) {
// 计算链表A的长度
let lenA = 0;
let currA = headA;
while (currA) {
lenA++;
currA = currA.next;
}

// 计算链表B的长度
let lenB = 0;
let currB = headB;
while (currB) {
lenB++;
currB = currB.next;
}

// 重置指针
currA = headA;
currB = headB;

// 让较长的链表指针先走 |lenA - lenB| 步
if (lenA > lenB) {
for (let i = 0; i < lenA - lenB; i++) {
currA = currA.next;
}
} else {
for (let i = 0; i < lenB - lenA; i++) {
currB = currB.next;
}
}

// 同步遍历找相交点
while (currA !== currB) {
currA = currA.next;
currB = currB.next;
}

return currA; // 相交点或null
}

复杂度分析

  • 时间复杂度:O(m + n),其中 m 和 n 分别为两个链表的长度。
  • 空间复杂度:O(1),仅需常数级额外空间。

示例验证

  • 相交情况
    链表A:1 → 2 → 3 → 6 → 7
    链表B:4 → 5 → 6 → 7

    • 计算长度:lenA = 5lenB = 4
    • 对齐起点:A先走 5 - 4 = 1 步,指向节点 2
    • 同步遍历:A从 2、B从 4 开始,最终在节点 6 相遇,返回 6
  • 不相交情况
    链表A:1 → 2 → 3
    链表B:4 → 5 → 6

    • 计算长度:lenA = 3lenB = 3
    • 对齐起点:无需移动。
    • 同步遍历:A和B均到达 null,返回 null

正确性证明

  • 若链表相交,对齐起点后,两个指针到相交点的距离相等,同步遍历必然在相交点相遇。
  • 若链表不相交,同步遍历会同时到达末尾(null),返回 null

该方法通过预处理长度差,确保指针同步移动时能正确相遇,是解决此类问题的最优解。