K 个一组翻转链表
给你链表的头节点 head ,每 k 个节点一组进行翻转,请你返回修改后的链表。
k 是一个正整数,它的值小于或等于链表的长度。如果节点总数不是 k 的整数倍,那么请将最后剩余的节点保持原有顺序。
你不能只是单纯的改变节点内部的值,而是需要实际进行节点交换。
示例 1:

输入:head = [1,2,3,4,5], k = 2 输出:[2,1,4,3,5] 示例 2:

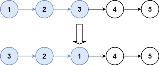
输入:head = [1,2,3,4,5], k = 3 输出:[3,2,1,4,5]
要解决这个问题,我们需要将链表每 k 个节点一组进行翻转,不足 k 个节点的部分保持原有顺序。以下是详细的解决方案:
方法思路
- 递归或迭代处理:每次处理
k个节点,递归翻转后续组,或使用迭代逐组翻转。 - 检查剩余节点数量:在翻转前,先检查剩余节点是否足够
k个,不足则直接返回。 - 翻转当前组:使用三指针法(
prev、curr、next)翻转k个节点,并连接前后组。 - 连接前后组:将前一组的尾节点连接到当前组翻转后的头节点,当前组的尾节点连接到下一组的头节点。
代码实现(迭代法)
/**
* Definition for singly-linked list.
* function ListNode(val, next) {
* this.val = (val===undefined ? 0 : val)
* this.next = (next===undefined ? null : next)
* }
*/
/**
* @param {ListNode} head
* @param {number} k
* @return {ListNode}
*/
function reverseKGroup(head, k) {
const dummy = new ListNode(0);
dummy.next = head;
let prevGroupTail = dummy; // 前一组的尾节点
while (true) {
// 检查剩余节点是否有k个
let curr = prevGroupTail.next;
let count = 0;
while (curr && count < k) {
curr = curr.next;
count++;
}
if (count < k) break; // 不足k个,退出循环
// 反转当前组的k个节点
let groupPrev = null;
curr = prevGroupTail.next;
for (let i = 0; i < k; i++) {
const next = curr.next;
curr.next = groupPrev;
groupPrev = curr;
curr = next;
}
// 连接前后组
const groupHead = prevGroupTail.next; // 翻转前的头节点,翻转后变为尾节点
groupHead.next = curr; // 当前组的尾节点连接到下一组的头节点
prevGroupTail.next = groupPrev; // 前一组的尾节点连接到当前组的头节点
prevGroupTail = groupHead; // 更新前一组的尾节点
}
return dummy.next;
}
复杂度分析
- 时间复杂度:O(n),其中 n 是链表的长度。每个节点被遍历两次(一次检查,一次翻转)。
- 空间复杂度:O(1),只需要常数级的额外空间。
示例验证
输入:链表 1 → 2 → 3 → 4 → 5,k = 2
输出:链表 2 → 1 → 4 → 3 → 5
过程:
-
第一组(1→2)翻转:
- 翻转后:
2 → 1 - 连接:
dummy → 2 → 1,1连接到下一组头节点3。
- 翻转后:
-
第二组(3→4)翻转:
- 翻转后:
4 → 3 - 连接:
1 → 4 → 3,3连接到下一组头节点5。
- 翻转后:
-
剩余节点(5)不足 k=2,保持不变。
最终链表:dummy → 2 → 1 → 4 → 3 → 5。
关键细节说明
- 虚拟头节点:统一处理头节点,避免边界条件判断。
- 检查剩余节点数量:确保只翻转完整的组,不足
k个节点的部分不处理。 - 连接逻辑:每次翻转后,正确连接前一组的尾节点和当前组的头节点,以及当前组的尾节点和下一组的头节点。